诚信为本,市场在变,诚信永远不变...
  咨询电话:400-123-4567

公司新闻

海森堡 —— 一个被误解误传的量子力学奠基人(上)

  海森堡是量子论和量子力学发展史上的关键人物之一。海森堡引入了半量子数,提出了研究原子问题关注可观测量的思路,给出了引出矩阵力学的求和规则,基于波动力学处理多体问题提出了交换能的概念进而建立了铁磁模型,提出了不确定性原理,其关于原子核构造的理论引出了后来的同位旋量子数。海森堡无疑地是第一流的物理学家,有着非同寻常的物理直觉。围绕他的一些不解之谜是量子力学史的持久话题。

  关键词反常塞曼效应,半量子数,色散关系,可观测量,矩阵力学,多体问题,交换作用能,铁磁性,不确定性原理,海森堡表示,原子核构造

  海森堡(Werner Heisenberg,1901—1976)出生于德国的维尔茨堡,九岁时其父到慕尼黑大学任希腊研究教授,海森堡随父到了慕尼黑并在那里长大和接受教育(图1)。海森堡年轻时参加过一个名为Neupfadfinder(新寻路者)的精英组织。据信“寻路(pathfinding)”在其他方面也很重要,比如他们也试图重新发现科学(discover science anew)。海森堡把兴趣集中在远离应用的那些科学领域,可能是因为他的们把物理学烙上了“mechanic materialism”的印记。Mechanic materialism这个被我们误译为机械唯物主义的概念对于理解20世界的物理学具有重要的意义,它是一种认识到物质之下有运行原理的哲学,此乃mechanics之线月海森堡想进慕尼黑大学数学系,投奔证明了π是超越数的林德曼(Ferdinand von Lindemann,1852—1939),被拒后转投物理系的索末菲(Arnold Sommerfeld,1868—1951)教授。似乎索末菲也对接收海森堡不是很热心,英文文献谓索末菲曾说过“It maybe that you know something;it maybe that you know nothing. We shall see.” 笔者特别声明,笔者没找到这话的原文出处。索末菲是量子论的关键人物,其于1916年量子化了电子轨道的取向(所谓的空间量子化)。海森堡跟着索末菲这样的导师,在我们称为“大二”的那一年其科学人生就开挂了。1921年,海森堡研究反常塞曼效应,引入了半量子数;1922年,海森堡和索末菲合作发表了两篇关于X-射线谱理论以及反常塞曼效应的论文。按照德国的教育制度,海森堡1923年为了完成大学学业去了哥廷恩大学跟着玻恩研究原子物理,给玻恩留下了深刻印象。那时候,玻恩开始了一个关于原子理论研究的雄心勃勃的计划,即探究天体力学中的扰动方法,试图通过与经典力学的类比来处理原子里的多体问题。这导致了玻恩与海森堡在氦原子理论上的合作。在玻恩那里,海森堡又结识了玻尔(Niels Bohr,1885—1962),从此开启了他们之间长达四十年的交往。海森堡1923年完成大学学业,获得博士学位,学位论文题目为Über Stabilität und Turbulenz von Flüssigkeitsströmen (论流体的稳定性与湍流)。不幸的是,在论文答辩后的考试环节海森堡表现不佳,维恩(Wilhelm Wien,1864—1928)教授坚持不予通过,最后还是在索末菲教授的恳求下给了个及格的评价(cum laude)。1924年,海森堡在玻恩手下通过了Habilitation,获得私俸讲师资格,直到1927年海森堡都是哥廷恩大学的讲师。1924年9月到1925年5月间,海森堡曾到哥本哈根玻尔处访问。在1926年的一段时间里,海森堡接替克拉默斯(Hans Kramers)做过玻尔的助手。

  海森堡在量子论进化为量子力学的过程中做出了关键的贡献。1923—1924年玻恩讲授原子力学进而提出量子力学概念的那段时间里,海森堡是玻恩的助手之一。1924年9月,海森堡到了玻尔那里,研究辐射的量子理论。那个时期,Niels Bohr,Hans Kramers,John Slater三人提出了一个半经典理论,即所谓的BKS理论。在这段时间里,海森堡与克拉默斯之间的讨论对海森堡后来的成就帮助很大,极具量子力学史意义。1925年5月海森堡从哥本哈根回到哥廷恩,此时海森堡关于原子问题的观念发生了转变(参见海森堡1925年7月9日的信),即他将关注的对象集中到了可观测量上{笔者觉得这就是从力学问题转到光谱学上。电子的轨道?根本没有那回子事儿}。海森堡不再和那个电子的三维轨道(索末菲的原子模型)缠斗,而是改为处理一维非谐振子的发射问题,结果是将量子数同可观测的辐射频率与强度拉上了关系,关于强度的计算无意中带出了矩阵乘法。玻恩看出来海森堡的这个工作的重要意义,接下来玻恩和约当发展出了矩阵力学{注意,至少到1927年量子力学指的就是矩阵力学},给出了那个著名的共轭变量之间的非对易关系(略去了e2πiνnm/h 项的矩阵形式,且矩阵指标必须从0开始)!

  海森堡1927年10月成了莱比锡大学的教授,同时期那里还有索末菲门下的他的师兄弟德拜(Peter Debye)与洪特(Friedrich Hund)。接下来的几年里,海森堡发展了铁磁模型,对原子核构造的理解为后来的粒子物理提供了一些概念基础。

  不谈论(反常)塞曼效应,是理解不了量子力学的构建过程的。索末菲及其门下的朗德(Alfred Landé,1888—1976)、泡利、海森堡等人对理解塞曼效应做出了持续不懈的努力。现代文献中关于塞曼效应的表述,是基于量子力学所获得的原子物理表述与记号之上的(表述时有概念跳跃),它掩盖了理解塞曼效应的艰难过程以及它在构建量子论、量子力学和原子物理过程中所扮演的角色。原子物理课本讲不清塞曼效应,情有可原。

  其实,大自然没有任何反常现象或反常效应,它不过是反映我们一时理解不了的现实而已。在电子自旋被发现、量子力学被发展起来以后,塞曼效应就没有必要非要分什么正常和反常塞曼效应了。原子辐射受磁场的影响,当然取决于原子自身的性质以及磁场的强度。当磁场较弱时,电子能级发生小的劈裂,表现为谱线的劈裂;而当磁场足够强时,电子的能级被极大地扰动,谱线会被重排,这归于Paschen—Back效应。

  海森堡对量子论的建立以及量子力学的发展做出了许多标志性的贡献。笔者一直坚持一个观点,对一个科学家之成就的认识(我不敢说是评价)应该建立在他自己留下的白纸黑字上。据不完全统计,海森堡与量子论、量子力学有关的论文罗列如下:

  如果能静下心来粗略浏览一遍海森堡的论文,或许能够对海森堡对量子论、量子力学的建立之贡献有个不至于太偏颇的认识。

  矩阵力学的由来确实源自海森堡的工作,但是矩阵力学是玻恩和约当构造的[M. Bornand P. Jordan,Zur Quantenmechanik(论量子力学),Zeitschrift für Physik,34, 858—888(1925)]。海森堡不知矩阵代数。就矩阵力学而言,其力学部分来自玻恩的思想,他此前即想把天体力学用于研究原子的实践,构造了原子力学(Atomphysik),并认识到了构建量子力学的必要性,为此于1924年造了Quantenmechanik一词。所幸的是,玻恩此前因研究相对论也学了矩阵,而玻恩和约当构造矩阵力学之矩阵代数方面的工作都是约当做的。再强调一遍,约当是在希尔伯特和库朗身边学的数学,一定程度上参与了《数学物理方程I》问世的过程。当时,有能力担当构造矩阵力学这一重任的年轻人,只有约当、泡利和狄拉克,冯·诺伊曼都算是来晚了的。

  接下来,海森堡要确立外电子的稳态轨道。第一量子条件是 ,其中m是在线系中出现的总量子数(Gesamtquantenzahl,它确定线系的极限);第二量子条件是 ,其中p是角动量,与方位角β是一对共轭量,n*是角动量量子数,与线系之分蘖(记为s, p, d…)有关。结论是对于基轨道(1s),以及每一个(ms),由 可得量子数 。假设原子实的角动量在激发态也不变。若在线系公式中出现的量子数m总是一个整数,那径向量子数(radiale Quantenzahle)就只能是 ,则量子数m 的最小值总是 。可见,量子数m的最小值就是常规的方向角量子数n,则有 。这样,可得如下原子的模型:原子实的角动量为,外部电子的角动量为。这两个角动量是如何相对取向的呢?再利用索末菲的空间量子化要求,得到对于双线情形的原子模型,这两个角动量要么同向,要么完全反向,即总角动量为 和 。海森堡由此得到一个关于双线结构之本质的假说,进而用于解释反常塞曼效应:m*→m*跃迁对应谱线的π-部分,m*→m*+1跃迁对应谱线的σ-部分(Daß der Übergang m*→m* π-Komponenten , der Übergang m*→m*+1 σ-Komponenten erzeugt)。

  到1924年底,23岁的海森堡三年大学毕业,获得了博士学位,同论文导师索末菲合作发表了论文2篇,同导师玻恩合作发表了论文4篇,同索末菲门下师兄朗德合作发表了文章1篇,另单独署名文章3篇,这就基本确立了他一流物理学家的地位{读者请就这几句内容了解一下当年德国的教育制度与水平}。

  在那篇历史性的、与矩阵力学的诞生有关的1925年论文出现之前,海森堡1924年的“量子论形式规则在反常塞曼效应问题上的改进”一文,与朗德合作的“高阶多重线年同玻尔门下的克拉默斯合作的“原子对光的散射”一文(文章是1924年1月5日自哥本哈根发出的,其中有著名的Kramers—Heisenberg色散公式)是理解海森堡的工作如何导向矩阵力学的关键。克拉默斯本人的文章,Hendrik Anthony Kramers, The Law of Dispersion and Bohr’s Theory of Spectra,Nature118,673—674(1924),对理解色散关系等相关问题也至关重要。

  先岔开个话题。杂志Zeitschrift für Physik在1924年就只在12月出版了一期,即26卷1期。这期杂志是人类学术创造浓度的顶峰,与之可相比拟的,大概只有1918年的哥廷恩大学的学报。在Zeitschrift für Physik26(1)上,不仅有玻恩创立“量子力学”一词的文章,海森堡的两篇文章,还有玻色的、实为爱因斯坦翻译成德语的Plancks Gesetz und Lichtquantenhypothese(普朗克分布律与光量子假说)一文(此文带出玻色统计),W. Bother & H. Geiger关于BKS理论的文章,费米论量子态概率的文章,W. Bothe关于光电效应的两篇文章,W. Schottky & von Issendorff关于热发射问题的文章,W. Gerlach & A. C. Cilliers关于原子磁矩的文章,J. Frenkel关于光吸收的文章,W. Gerlach关于法拉第效应的文章,Otto Hahn & Lise Meitner关于镭放射β射线的文章,Lise Meitner关于原子裂变放射γ射线的文章,E. Grüneisen & E. Goens的金属晶体研究,等等,都是影响了后续科学发展的工作,Otto Hahn & Lise Meitner的工作甚至改变了人类社会的进程。海森堡的论离子形变的文章是对此前与玻恩合作的同名文章的延续,而“量子论形式规则在反常塞曼效应问题上的改动”一文应被看作量子力学发展史上至关重要的一篇。

  海森堡的“量子论形式规则在反常塞曼效应问题上的改进”一文,愚以为可看作是对玻恩构建“量子力学”计划的第一响应,文中提到Quantenmechanik名词形式4次,形容词形式两次。玻恩的文章和海森堡的文章的杂志收稿日期相同,为1924年6月13日。文章的投稿时间应该也不会有什么差别,因为玻恩本人是主编而海森堡是他的助手。文章构思期间,海森堡在玻恩门下学习,考虑到玻恩此前讲授Atommechanik(原子力学)并出版了专著来看,Quantenmechanik一词为玻恩提出应属无疑。从海森堡的文章也用到了Quantenmechanik一词来看,玻恩就他预期应该有的Quantenmechanik这门学问而言,和海森堡是有讨论的。笔者未见科学史家注意到海森堡在同一期杂志上的文章即使用了Quantenmechanik一词这个事实(图6)。

  图6 杂志 Zeitschrift für Physik26(1), (1924)上玻恩提出量子力学论文的截图(上)以及海森堡关于量子规则的改进与反常塞曼效应论文的截图(中)。海森堡的论文里也提及了“量子力学”一词(下)

  基于对氖光谱结构的分析导出了高阶多重态的结构。文中出现了impulslos abgeschlossene Schale(无角动量闭合壳层)的说法,并说到原子实中也有量子跃迁的可能,因此关于原子的构造原理不能太当真(das Aufbauprinzip nicht allzu eng auffassen)。因为对氖光谱数据笔者没有任何感觉,故对这篇文章就不仔细解读了。不过,笔者想说,这篇文章是在分析帕邢的大量氖光谱数据基础上完成的。大家、天才都是干苦力的好把式——以为天才只需等着灵光一现就能功成名就的鸡贼想法可以休矣。

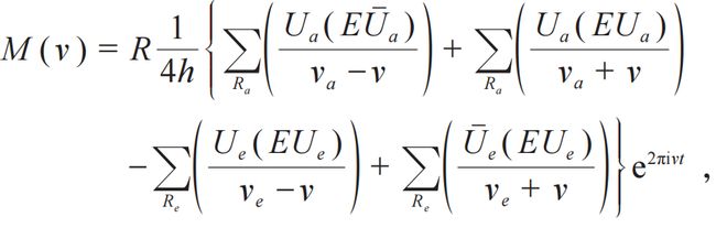
  读者注意到其中出现的νe+ν,νe-ν,νa-ν,νa+ν表达即可,νa,νe是某状态P的吸收线与发射线的频率。

  海森堡在这个工作基础上接下来往前又跨了一步,得到了玻恩与约当构造矩阵力学的出发点,即量子乘积规则。海森堡的“运动学的与力学的关系的量子理论再诠释”一文(篇幅为15页)在本系列关于矩阵力学一篇中已有叙述。这篇文章常常被当作矩阵力学的第一篇,笔者以为这对玻恩和约当非常不公平。实际上,海森堡那时不知道矩阵的概念,从白纸黑字的论文来看,矩阵力学是玻恩与约当构造的,狄拉克和泡利接着发展起来的。不把海森堡的“运动学的与力学的关系的量子理论再诠释”一文当作矩阵力学第一篇,丝毫不影响海森堡作为一个伟大物理学家的地位。基于一个人自身的工作给予其客观评价,那才是尊重。海森堡的“运动学的与力学的关系的量子理论再诠释”一文因其历史重要性,建议读者自行认真研读。网上有英文版On the quantum reinterpretation of kinematical and mechanical relationships,读者请留心其中的翻译错误。另,Wikipedia的“Umdeutung paper”条目是对这篇文章的英文解读。

  致 谢感谢国家自然科学基金委交叉科学部(批准号:T2241004)对“量子力学诞生百年纪念”系列前期准备工作的资助。

  特别声明:以上内容(如有图片或视频亦包括在内)为自媒体平台“网易号”用户上传并发布,本平台仅提供信息存储服务。

  湖人总经理:续约东契奇是球队历史上一个具有里程碑意义的时刻,他的未来在湖人队

  编译 巴基斯坦究竟为何能击落印度战机?印巴冲突后,外媒替印度“反思”…

  Xbox大作PS5版大小曝光!8月12日正式上线主机独占游戏宣布关服!存活十二年了!

  机械师曙光16S Ultra开启预约:酷睿Ultra 7 255HX + RTX 5070/Ti

  R7-7735HS + 双网口,1499 元天虹 TexHoo ZHR 迷你主机配置上新